
In diesem Bild ist der grundlegende Aufbau eines Rastertunnelmikroskops gezeigt: eine scharfe Spitze wird auf eine Rastereinheit, bekannt als "xyz Scanner", montiert, welcher die Positionierung in x-, y- und z-Richtung mit subatomarer Genauigkeit ermöglicht. Die Tunnel-Spitze ist typischerweise ein Draht, welcher durch chemisches Ätzen oder mechanische Bearbeitung angespitzt wurde. Als Material wird oft Wolfram, Platin-Iridium oder reines Iridium verwendet. Zwischen Spitze und Probe wird eine Spannung Vt angelegt, und wenn der Abstand zwischen Spitze und Probe im Bereich von einigen Ångström liegt, fließt der Tunnelstrom It. Dieser Strom wird für die Regelung des z-Scanners verwendet.
Im Topographiemodus werden Bilder erzeugt, indem man It durch Regelung konstant hält und die z-Position des Scanners aufnimmt. Im constant-height Modus, bei dem die z-Position konstant gehalten wird, rastert die Spitze schnell über die Probe, sodass die Regelung den atomaren Abweichungen nicht folgen kann. Die Atome erscheinen dann als Modulationen im Tunnelstrom It, welche als Funktion von x und y aufgenommen werden. Das Scannen der Probe wird meist rasterförmig durchgeführt mit einer schnellen (Sägezahn- oder Sinus-Signal) und einer langsamen (Sägezahn-Signal) Scan-Richtung. Ein Computer steuert das Scannen der Oberfläche in der x-y-Ebene, während die z-Position der Spitze (Topographie-Modus) oder der Tunnelstrom (constant-height-Modus) aufgenommen werden. Es ergibt sich ein dreidimensionales Bild aus z(x,y,It = const) oder It (x,y,z = const).

Ein Rasterkraftmikroskop ist ähnlich aufgebaut wie ein Rastertunnelmikroskop (STM) nur dass die Tunnelspitze durch einen Kraftsensor ersetzt ist. Das nebenstehende Bild zeigt eine scharfe Spitze knapp über der Probenoberfläche. Chemische, kurzreichweitige Kräfte wirken, sobald die Orbitale der Spitzen- und Oberflächenatome (sichelförmig) überlappen. Langreichweitige Kräfte (durch Pfeile gekennzeichnet) herrschen im kompletten Spitzenvolumen und an der Oberfläche und sind kritisch von der mesoskopischen Form der Spitze abhängig. Die potentielle Energy Vts zwischen Spitze und Probe führt zu einer z-Komponente der Kraft zwischen Spitze und Probe Fts = ∂Vts / ∂z und dadurch zu einer Federkonstante kts= - ∂Fts / ∂z. Abhängig von der Betriebsart des AFMs wird entweder Fts oder ein von Fts abgeleiteter Wert als bildgebendes Signal verwendet.
Anders als der Tunnelstrom, welcher nur sehr kurzreichweitig ist, hat Fts kurz- und langreichweitige Anteile. Wir können diese Anteile durch ihre Reichweite und Stärke kennzeichnen. Im Vakuum gibt es kurzreichweitige Kräfte chemischer Art (Bruchteile von nm) und van der Waals, elektrostatische und magnetische Kräfte mit großer Reichweite (bis zu 100 nm). Unter Umgebungsbedingungen können zusätzliche Kräfte durch Adhäsionsschichten auf Spitze und Probe (Wasserfilm oder Kohlenwasserstoffe) vorhanden sein.
Deshalb muss die AFM vier zusätzliche Herausforderungen meistern:
Die Methode der frequenzmodulierten Rasterkraftmikroskopie (FM-AFM) hilft dabei, drei dieser Herausforderungen zu meistern. Die nichtmonotone Natur der Kräfte jedoch stellt weiterhin eine Komplikation in der Rasterkraftmikroskopie dar.
Das zentrale Element der Kraftmikroskopie und den Hauptunterschied zum Tunnelmikroskop stellt die Feder, welche die Kraft zwischen Spitze und Probe misst, dar. Um Kräfte senkrecht zur Oberfläche zu messen, sollte der Kraftsensor in zwei Richtungen steif und entlang der dritten Achse relativ elastisch sein. Diese Eigenschaft wird von einem Federbalken erfüllt und deshalb wird diese Geometrie vornehmlich für Kraftsensoren verwendet.

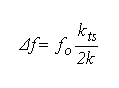
Die Methode benutzt einen Federbalken mit scharfer Spitze (cantilever), der durch positive Rückkoppelung zu Schwingungen mit konstanter Amplitude A angeregt wird. Die Schwingungsfrequenz des freien Federbalkens ist durch f0 = 2π ( k / m )0.5 gegeben, wobei k die Federkonstante und m die effektive Masse des Federbalkens sind. Wirken Kräfte zwischen der schwingenden Spitze und der Oberfläche, so ändert sich die Frequenz zu f = 2π ( k + kts / m )0.5, wobei kts der Gradient der Probenkräfte ist. Falls kts klein gegen k und innerhalb des von der Spitze überstrichenen Bereiches konstant ist, ergibt sich eine Frequenzänderung
Diese Frequenzänderung ist also ein Maß für die Kräfte, die zwischen Spitze und Probe wirken. Ein Regelmechanismus stellt den mittleren Abstand zwischen Spitze und Probe so ein, daß die Frequenzverschiebung Δf konstant ist und analog zum STM entsteht ein Bild.
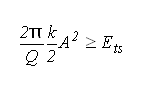
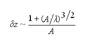
"Klassische" Frequenzmodulations-Rasterkraftmikroskopie mit Federbalken mit weicher Federkonstante k ≈ 20 N/m und relativ großer Schwingungsamplitude A ≈ 10 nm ermöglicht routinemässige atomare Auflösung. Aber Berechnungen haben ergeben, dass das Auflösungsvermögen durch die Verwendung kleinerer Schwingungsamplituden und härterer Federgabeln wesentlich gesteigert werden kann! Das minimale Bildrauschen δz hängt wie folgt von A ab:
wobei λ die Reichweite der Kräfte, die zur Abbildung genutzt werden, bedeutet. Die Reichweite typischer chemischer Kräfte beträgt ca. 0.1 nm. Optimale Abbildungsqualität wird also erwartet, wenn die Schwingungsamplitude in der Größenordnung der Reichweite der benutzten Kräfte ist.
Warum wurde dann nicht von Anfang an mit kleinen Amplituden gearbeitet?


Mit sub-nm Amplituden kann man also nur arbeiten, wenn man äußerst steife Cantilever (k ≈ 1 kN/m) verwendet. Traditionelle Silizium-Cantilever sind normalerweise nicht in dieser Steifigkeit verfügbar. Außerdem haben sie zwei weitere Nachteile:
Ein Lösung dieser Probleme bietet der qPlus Sensor.

Oszillatoren mit temperaturunabhängiger Eigenfrequenz sind in der Uhrentechnik wichtig. Die meisten Zeitnormale für Uhren bestehen heute aus einer Quartz-Stimmgabel. Quartz-Stimmgabeln sind zwei gekoppelte harmonische Oszillatoren, die in einem evakuierten Metallgehäuse schwingen mit f0 = 32 768 = 215 Hz.
Wir bauen aus diesen Stimmgabeln Federbalken, indem wir eine der Zinken festkleben und auf die andere Zinke eine Spitze montieren - ein "qPlus-Sensor" ist entstanden. Die Eigenfrequenz liegt - je nach Masse der Spitze - bei ca. 20 kHz, und die Federkonstante unserer Stimmgabeln (aus Swatch-Uhren) ist k = 1800 N/m.
Der "qPlus Sensor" hat folgende Vorteile:
Die Vorteile, die die Kraftmikroskopie mit sehr harten Federgabeln und kleinen Amplituden ermöglicht, sind durch experimentelle Ergebnisse untermauert worden, worin erstmals "subatomare" Auflösung demonstriert wurde, d.h. in einem einzelnen Atom wurden Strukturen beobachtet, die mit der orbitalen Ladungsdichte zusammenhängen.
"qPlus Sensor" - basierend auf einer Stimmgabel aus Quarz für höchstauflösende Rasterkraftmikroskopie:
Erstes experimentelles Bild (Si 7x7), in dem inneratomare Strukturen abgebildet werden.