Modern computer hard drives based on giant- or tunneling-magnetoresistance effects have impressively demonstrated the great technological relevance of Spintronics devices. The key goal of Spintronics is to entangle the charge and spin degrees of freedom in a device to benefit from both their advantages at the same time, and control electrical current fully magnetically through the spin or, vice versa, manipulate the spin properties and store information therein solely through electrical currents.
Our Spintronics Research Group conducts fundamental theoretical research in this area with the aim to unravel possible knobs to control electron spins in realistic nanoscale systems. We focus in particular on heterostructures that consist of many different two-dimensional layers (e.g., graphene, transition-metal dichalcogenides, or van der Waals materials) stacked on top of each other. In that way, one can create a heterostructure that combines all favorable properties of the different individual layers, while typically providing additional tunability through electrical gating, doping, twisting, or proximitizing with magnetic or strong spin-orbit-coupling-inducing materials.
Moreover, we also investigate the spin and charge-transport characteristics of superconducting magnetic junctions (such as, e.g., Josephson junctions). While supercurrents in conventional superconductors are carried by Cooper pairs with net zero spin and therefore not really accessible to store information in the spin degree of freedom, certain spin-active components in the junction – such as spin-orbit coupling or nonuniform magnetization – have been predicted to convert these pairs into spin-polarized triplet pairs that can be harnessed to design Spintronics applications. We study the mechanisms behind this singlet-triplet pair conversion together with other fascinating phenomena in superconducting magnetic junctions like the recently intensively investigated supercurrent diode effect.
We employ first-principles calculations to study the electronic, spin, optical, and magnetic properties of various solids, including bulk materials, 2D monolayers, and van der Waals heterostructures. First-principles calculations are a powerful tool allowing us to study the quantum many-body problem of hundreds of atoms. With this, we are able to calculate the bandstructure, density of states, magnetic moments, dipole matrix elements, etc. of a material of interest. All these information are then necessary to make realistic predictions about transport phenomena, light-matter interaction, proximity coupling, etc. that can be observed in experiments. Particular examples of materials that we currently investigate are: graphene, hexagonal boron-nitride (hBN), transition-metal dichalcogenides (MoS2, MoSe2, WS2, WSe2), transiton-metal trihalides (CrI3, CrBr3), topological insulators (Bi2Te3, Sb2Te3), and many more.
Since the discovery of magic-angle twisted bilayer graphene, the twist angle between the individual layers of a heterostructure has been recognized as an important tuning knob in such structures. The twist angle can modify optical properties like the excitonic g-factors, influence proximity effects (e.g., spin-orbit coupling or exchange coupling) between the layers, and even introduce new phenomena like the unconventional Rashba–Edelstein effect (UREE) from radial spin textures by breaking symmetries of the untwisted structures. Moreover, just like in homobilayers, twisting heterostructures can produce Moiré patterns and their associated physical features (flat bands, enhanced correlation, formation of domains, etc.).
This work has been published in:

Modulation of proximity spin-orbit coupling in twisted graphene/TMDC heterostructures.

Modulation of proximity exchange in twisted graphene/Cr2Ge2Te6 heterostructures.

Emergence of radial spin textures and unconventional Rashba-Edelstein effect in graphene/NbSe2 heterostructures.
Proximity effects in two-dimensional (2D) materials open a rich pathway to engineer new quantum phases. We investigate how 2D van der Waals heterostructures – such as graphene in contact with magnetic materials or materials exhibiting strong spin-orbit coupling – can induce exchange coupling and spin-orbit interactions without doping. In twisted and gated heterostructures, these proximity-induced properties can be tuned by twist angle, local stacking, and electric fields. In graphene, it even enables topological edge states and correlated phases when combined with flat-band physics. This bottom-up design promises novel spintronics devices with low dissipation and high tunability.
This work has been published in:

Proximity spin-orbit coupling can be harnessed to tune the band structure.

Distinguishing ferro- and antiferromagnetic proximity exchange.

The interplay of both – proximity spin-orbit and exchange couplings – gives unprecedented control over the total band structure and transport properties.
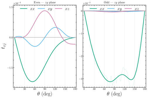
Our group explores how charge currents generate spin-orbit torques (SOTs) that drive magnetization dynamics in van der Waals magnets. Using fully-relativistic first‑principles calculations with symmetry‑adapted Wannier interpolation and Kubo–Bastin response theory, we map the angular dependence of SOTs in Fe₃GeTe₂ (FGT), Fe₃GaTe₂ (FGaT), and WTe₂ stacks. We find that interband “hot spots” at SOC‑mixed band anti-crossings dominate the even SOT near in‑plane magnetization, while the odd SOT is largely Fermi‑surface controlled, directly linking the band structure to current‑induced torques that govern magnetization dynamics.
Material design offers powerful control knobs: Substituting Ge by Ga effectively hole‑dopes FGT and reshapes the Berry‑curvature distributions, changing the sign and magnitude of a key SOT component across realistic disorder levels. In WTe₂/FGT, reduced crystal symmetry and interfacial Te–Te hybridization amplify damping‑like torques and introduce an out‑of‑plane spin polarization, enabling field‑free, deterministic switching. Atom‑ and layer‑resolved analyses further reveal large “hidden” (canceling) torques with a small uniform remainder, the piece that actually switches the magnet, offering practical design rules to maximize SOT efficiency.
This work has been published in:

(a) Side and (b) top views of Fe₃(Ge,Ga)Te₂ in the P6₃/mmc structure.

Angular dependence of spin-orbit torkances of monolayer Fe₃GeTe₂ for magnetization rotated in the zy plane. Left: Even components vs polar angle. Right: Odd components.

Berry curvature dipole for monolayer Fe₃GeTe₂ with magnetization along z.
Superconducting nanojunctions are attracting enormous attention of researchers owing to their fascinating physical properties that make superconducting systems essential for modern technology – particularly for recently emerging quantum-computer architectures. To allow for an even greater tunability of their physical properties, and thereby offer more functionalities to potential applications, superconducting layers are often paired with magnetic components and regions that intrinsically induce strong spin-orbit coupling. Together with the long-range coherence of the superconducting part, these two fundamental spin interactions – magnetic exchange and spin-orbit coupling – manifest themselves in unique spectroscopic and transport characteristics, and were furthermore predicted to induce topological superconductivity that might harbor Majorana states.
In close collaboration with experimental groups, we are performing systematic and
comprehensive microscopic model calculations to unravel and further characterize the
transport ramifications of the interplay between superconductivity, magnetism, and spin-orbit coupling in different multi-component junctions.
In what follows, we wish to introduce three directions of our research on superconducting junctions.
: RECENT HIGHLIGHTS :

Planar Josephson junctions that are integrated into the two-dimensional electron gas (2DEG) of narrow quantum wells (e.g., InAs quantum wells) by means of the superconducting proximity effect have recently been the subject of a flurry of experimental and theoretical research activities. When combined with magnetic exchange – that could, for instance, be induced through applying an external magnetic field – in a certain way (i.e., the field needs to be aligned in the plane and perpendicular to the direction of the current), the strong intrinsic spin-orbit coupling of the 2DEG imprints a nonreciprocal character on the supercurrent transport, resulting in supercurrent magnitudes that (substantially) differ for different polarities (transport directions).
From this viewpoint, 2DEG magnetic Josephson junctions could act as the fully dissipationless counterparts of the yet in technological applications used semiconductor diodes – motivating to term the related effect supercurrent diode effect (SDE) – and become even more relevant to design superconducting transistors one day.
The Strunk Group in Regensburg successfully observed a giant SDE in an array of more than 2,000 Josephson junctions based on an InAs quantum well for the first time ever in 2021 (in a sample provided by Manfra’s group from Purdue University), and characterized its transport properties (magnetochiral anisotropy) through state-of-the-art inductance measurements. We supported the experimental studies with tight-binding KWANT simulations that fully reproduced (both qualitatively and quantitatively) the experimental observations.
After the initial work, we developed a microscopic model that connects the SDE characteristics with the spectral properties of the underlying current-carrying Andreev bound states of the Josephson junctions. We could demonstrate that the junction may undergo current-reversing 0–π-like transitions at strong enough magnetic exchange and, most surprisingly, that also the SDE can eventually reverse. In parallel to our theoretical studies, the Strunk group measured the field-dependence of the SDE and the obtained experimental data were in good (qualitative and quantitative) agreement with our microscopic model. Moreover, the experiment confirmed the predicted reversal of the SDE at strong enough magnetic fields for the first time.
More recently, we theoretically proposed another mechanism that will give rise to a Josephson SDE in vertical three-dimensional superconductor/ferromagnet/superconductor (S/F/S) Josephson junctions. The crucial ingredients are asymmetric spin-orbit fields at the two F/S interfaces, e.g., conventional Rashba at one and unconventional (radial) Rashba spin-orbit coupling at the other interface. These fields will initially condition the preferred spin direction of the Cooper-pair electrons. However, when the magnetization of the ferromagnet (F) is perpendicular to the interfaces, these spins will precess around their initial alignment while traversing the ferromagnet. The spin-precession angle will determine the probability that the electrons can enter into the second superconductor and a finite Josephson current flows. Due to the asymmetric spin-orbit fields, the spin-precession angle will be different for right- and left-propagating electrons, imprinting a polarity dependence on the critical Josephson currents and turning the junction into a supercurrent diode. To emphasize the different physical mechanism – e.g., the spin-precession mechanism here requires out-of-plane magnetization, while the magnetic field in the planar 2DEG junctions needs to be aligned in the plane of the junctions – we termed this effect unconventional Josephson SDE.
This work has been published in:
The UR press release covering our collaboration with the Strunk Group can be found here.

In close collaboration with Moodera’s group at MIT, we performed tight-binding KWANT simulations to understand quasiparticle transport through Ni–Ga bilayers.
We showed that the observed rich, and initially extremely puzzling conductance variations (that we termed "conductance shoulders"), could serve as transport signatures of superconducting triplet pairings that are induced at the interface between the ferromagnetic Ni and the superconducting Ga films, establishing Ni–Ga bilayers as an interesting platform to further investigate long-range triplet superconductivity.
Polarized-neutron-reflectometry data provided by Dr. Valeria Lauter from Oak Ridge National Laboratory confirmed the potential presence of nonuniform ferromagnetic order (domains) around the Ni–Ga interface, which could provide the microscopic explanation for the conversion of spin-singlet into polarized spin-triplet Cooper pairs.
This work has been published in New Journal of Physics 24, 033046 (2022).

Relativistic effects like spin-orbit coupling have a tremendous impact on electrical transport through nanoscale junctions, and are therefore at the heart of numerous recent research projects within the SFB 1277 at the Physics Department in Regensburg. We have been intensively studying the role of interfacial spin-orbit coupling, which is inevitably induced in all junctions through the space-inversion-symmetry breaking through thin (e.g., semiconducting) tunneling barriers, in ferromagnet/superconductor-like junctions.
The most interesting novel process that interfacial spin-orbit coupling gives rise to in superconducting junctions is the spin-flip ("unconventional") Andreev reflection, which triggers the conversion of spin-singlet into spin-triplet Cooper pairs and thereby generates spin-polarized supercurrents with astonishing physical consequences and properties.
We elaborated on the ramifications of unconventional Andreev reflections on the charge and spin (Hall) transport properties of ferromagnet/superconductor junctions and superconductor/ferromagnet/superconductor Josephson junctions in the presence of interfacial Rashba and Dresselhaus spin-orbit couplings. In an experimental collaboration with Aliev’s group in Madrid, we demonstrated that our theory is capable of quantifying the strength of the interfacial spin-orbit couplings of Fe/V junctions through experimental conductance measurements.
We are currently continuing these studies extending our view to more advanced system geometries with more different layers and with a special focus on the distinct mechanisms that have been proposed to generate spin-polarized triplet supercurrents. Moreover, we are studying the impact of the recently predicted unconventional (radial) Rashba spin-orbit coupling on superconducting transport.
This work has been published in:
Our projects are currently supported by:
SPINTRONICS
Secretarial Office:
+49 (0)941 943 2030 / 2434
fabian.office@ur.de
SFB 1277-Office:
+49 (0)941 943 2264
sfb1277.office@ur.de